
赵圣印,男,1972年6月生,博士,教授,博士生导师,新药分子设计与绿色合成课题组组长。本科和硕士毕业于沈阳药科大学,2000年7月于中国药科大学获药物化学专业博士学位,而后分别在中国科色漫天堂 上海有机化学研究所和美国Case Western Reserve University化学系从事博士后研究,2006月进入色漫天堂 工作。
研究生招生
招收《有机化学》和《应用化学》专业硕士研究生,招收《有机化学》专业博士研究生和博士后,本课题组提供优越的实验条件和研究生待遇,就业前景好,机会多,欢迎加入本课题组。联系电话:021-67792436,E-mail:syzhao8@semango.net
教学工作
为本科生主讲《有机化学》、《有机化学实验》和《药物化学》等课程,为研究生主讲《高等有机化学实验》和《药物合成化学》,学生评教优秀。由清华大学化学系李艳梅教授牵头,合编出版本科教材一部,李艳梅、赵圣印、王兰英主编《有机化学》,普通高等教育“十一五”和“十二五”国家级规划教材,科学出版社,2011年1月第一版,2014年6月第二版。

研究方向
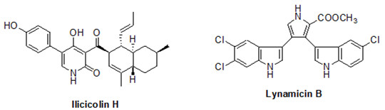
(1)具有潜在生物活性的天然产物的结构修饰与生物活性研究。主要集中在4-羟基-2-吡啶酮类天然生物碱冬青生菌素H(Ilicicolin H)和双吲哚吡咯类天然生物碱莱那霉素B(Lynamicin B)等的结构优化以及抗菌、抗真菌和抗肿瘤等生物活性研究。
(2)心脑血管疾病、抗肿瘤以及眼科用药等重大疾病治疗药物的仿制与新药申报。

科研项目
[1] 2015年上海市自然科学基金,批准号:15ZR1401400、《以海洋天然生物碱Lynamicin B为先导的Sortase A抑制剂的合成与生物活性研究》,2015年1月-2017年12月,在研,主持。
[2] 2013年中国科色漫天堂 上海有机化学研究所生命有机化学国家重点实验室开放课题,《以Sortase A为靶点的吲哚杂环类化合物的合成及生物活性研究》,2014年1月-2015年12月,在研,主持。
[3] 2010年国家自然科学基金面上项目,批准号:2101072029、《以冬青生菌素H 为先导的药物设计、合成及生物活性研究》,2010/01-2013/12,已结题,主持。
[4] 2010年上海市自然科学基金《天然产物冬青生菌素H的结构优化与生物活性研究》,批准号:10ZR1400700,2010年4月-2013年3月,已结题,主持。
[5] 近5年内主持横向课题4项。
研究成果
至目前已发表和接受文章近50余篇,SCI收录论文近40篇,以第一发明人申请国家发明专利12项,授权6项,代表文章如下:
[1] Yulong An, Yunxia, Deng, Wei Zhang, Shengyin, Zhao*. Regioselective hetero-Michael addition of oxygen.Sulfur, and nitrogen nuclophiles to maleimides catalyzed BF3.OEt2. Synthesis, 2015, published online on March 5, DOI:10.1055/s-0034-1380404.
[2] Shengyin Zhao*, Biaoshuo Liu, Jing Huang, Shaohua Cheng, Yunxia Deng, ZhiyuShao.Thermal-induced dimerization cyclization of ethyl N-(styrylcarbamoyl)acetates: formation of 4-hydroxy-2(1H)-pyridone-3- carboxamidederivaives. Synthetic Communication, 2014, 44(14):2066-2075
[3] Yulong An, Zhiyu Shao, Jian Cheng, Shengyin Zhao*. Highly efficient aluminum trichloride catalyzed Michael addition of indoles and pyrroles to maleimides, Synthesis, 2013, 45(19): 2719-2726
[4] Hongmin Ma, Qiang Zhou, Yumin Tang, Zhuan Zhang, Yongsheng Chen, Haiyan He, Haixue Pan, Mancheng Tang, JufangGao, Shengyin Zhao, Yasuhiro Igarashi, Gongli Tang*. Unconventional origin and hybrid system for construction of pyrrolopyrrole moiety in Kinostatin biosynthesis. Chemistry & Biology, 2013, 20(6):796-805
[5] 李慧,周强,唐玉敏,赵圣印*,唐功利*. 越野他汀生物合成介导的海洋小单胞菌中一个新天然产物的发现, 有机化学, 2013, 33(6):1326-1332.
[6] Shengyin Zhao*, Haiquan Zhang, Dengqing Zhang, Zhiyu Shao. N-methylation of NH-containing heterocycles with dimethyl carbonate catalyzed by TMEDA. Synthetic Communication.2012, 42(1): 128-135.
[7] Shengyin Zhao*, Yanwu Yang, Haiquan Zhang, Yue Yun, Mei Fan.Synthesis and cytotoxicity of novel 3-amino-4-indolylmaleimides. Archive of Pharmacal Research, 2011, 34(4):519-526.
[8] Hongyu Liang, Dengqing Zhang,Yu Yue, Zhe shi, Shengyin Zhao*. Synthesis and biological activity of some 1,3-dihydro-2H-3-benzazepin-2-ones with piperazine moiety as bradycardic agents. Archiv Der Pharmazie-Chemistry in Life Science, 2010, 343(2):114-119
EMAIL:syzhao8@semango.net